今回は、衛生学に乱用薬物の成分名と分類を暗記するためのゴロです。
Contents
暗記が苦手な薬学部生にみてほしい。
ゴロはキーワードに強引に意味を与えるので、ハマれば暗記も早いし忘れにくい。
だから、勉強時間の短縮に役立つ!!
しかし、1つ1つスマホで調べていたら大幅なタイムロスです。
そこで、ブログの薬理ゴロや衛生ゴロを収集して書籍(薬理ゴロは紙も電子書籍版もあり)にしました。
より効率的に勉強して、別分野の勉強時間や趣味の時間をつくりましょう。
Time is money! お金で時間を買ってください。
しかも当ブログなら購入前にゴロを確認でき、自分に合っているか否かを試せます。
多くのゴロでビビッとフィーリングが合えば、書籍をオススメします。(個人的には紙書籍の方が勉強しやすいですが、電子書籍の方が印刷コストの兼ね合いでお安いです)
薬学部では勉強量が多く時間が足りないと感じることが多い
でしょう。ゴロはキーワードに強引に意味を与えるので、ハマれば暗記も早いし忘れにくい。
だから、勉強時間の短縮に役立つ!!
しかし、1つ1つスマホで調べていたら大幅なタイムロスです。
そこで、ブログの薬理ゴロや衛生ゴロを収集して書籍(薬理ゴロは紙も電子書籍版もあり)にしました。
より効率的に勉強して、別分野の勉強時間や趣味の時間をつくりましょう。
Time is money! お金で時間を買ってください。
しかも当ブログなら購入前にゴロを確認でき、自分に合っているか否かを試せます。
多くのゴロでビビッとフィーリングが合えば、書籍をオススメします。(個人的には紙書籍の方が勉強しやすいですが、電子書籍の方が印刷コストの兼ね合いでお安いです)
リンク
リンク
あへん関連物質
(ゴロ)あっ変なコーディネートのヒロイン
「あっ変」あへん関連
「コーディ」コデイン
「ヒロイン」ヘロイン(ジアセチルモルヒネ)
※モルヒネもあへん関連物質に該当します
大麻
(ゴロ)タイマーあかんな、まるきっきり反応しない、すぐ代えよう

「タイマー」大麻
「あかんな」テトラヒドロカンナビノール
「まるっきり反応しない」マルキス反応はしない→窒素を含まない
「すぐ代える」すぐ代謝されるので、尿中から未変化体はほとんど見つからない。
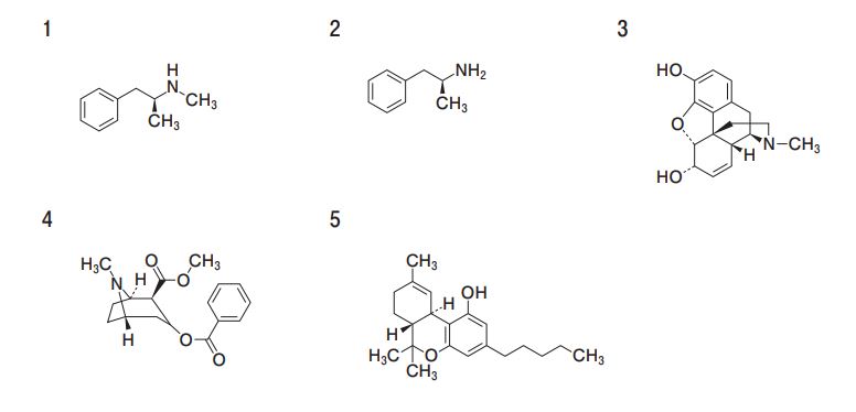
覚醒剤
(ゴロ)アンフェアな覚醒剤、指紋に反応
「アンフェア」成分名にaンフェ
・アンフェタミン
・メタンフェタミン
「指紋に反応」シモン反応、に:2→脂肪族第二級アミンの呈色反応。メタンフェタミンがよく反応する
練習問題
練習問題で知識を使えるようにしよう!
第109回薬剤師国家試験 問21
・シモン反応によって確認できる薬物はどれか。1つ選べ。

【解答と解説】1
指紋に反応→シモン反応は「に:2」に反応する。第二級アミンに反応する。
N(窒素)にC(炭素)が2個くっ付いている構造式を探せばOK。
※正確には、「アンモニア (NH₃) の水素原子2つが炭化水素基 (アルキル基や芳香族基など) に置き換わった構造」と言った方がいいのかな